Por: Alberto Tamm
Vivir en el querido lago Todos los Santos siempre ha sido un desafío, tanto desde el punto de vista de la conectividad, las comunicaciones, el abastecimiento de alimentos y materiales, el acceso a servicios básicos, educación y salud, y por sobre todo, contar con algo tan básico como la energía eléctrica. Un sevicio con el que la mayoría de los chilenos cuenta de forma constante y confiable, sin siquiera reflexionar sobre la importancia que tiene en nuestro diario vivir. Cosa que quedó clara el 25 de febrero de este año cuando debido a una desconexión imprevista de una línea de transmisión de 500kV entre Vallenar y Coquimbo se produjo un corte masivo de electricidad que afectó aproximadamente 8 millones de hogares entre las regiones de Arica y Parinacota y Los Lagos, el cual duró varias horas.
La red de distribución de electricidad de Crell llega hasta Petrohue con una línea de media tensión. Peulla genera la electricidad para los hoteles y habitantes del lugar mediante varias turbinas hidráulicas. Sin embargo, la mayoría de los hogares alrededor del lago tienen que generar su propia electricidad con un sistema de generación de energía eléctrica autónomo (“off-grid”), ya sea paneles solares (sistema fotovotaico), turbinas eólicas, microsistemas hídricos (turbinas), generadores diesel o bencineros, o una combinación de esas tecnologías. Si bien, estos últimos equipos son mas simples de utilizar y en parte mas económicos de adquirir (costos de inversión menores), generan emisiones contaminantes que afectan el ambiente además de tener altos costos de operación debido al combustible que hay que comprar.
En este artículo queremos acercar a la comunidad a los sistemas de energía solar fotovoltaica (FV), los cuales han tenido un enorme auge en estos útlimos años, lo que ha producido no sólo una reducción en los costos y con ello mayor accesibilidad para las familias, sino también equipos y baterías mas durables, mejores servicios de instalación, mantenimiento y reparación, más conocimiento para un uso adecuado, etc., es decir mayor confiablilidad.
La energía solar FV presenta varias ventajas como, por ejemplo:
- Se puede utilizar en zonas donde no se cuenta con distribución eléctrica.
- Al ser un sistema sin componentes en movimiento el costo por mantenimiento es bajo y los fallos son menos frecuentes que otros sistemas de generación de energías renovables.
- Los componentes constituyentes prácticamente no generan ruido.
- Durante su operación no generan emisiones de gases contaminantes por lo que ayuda a la conservación del ambiente.
Una de sus mayores desventajas es que el recurso solar para generar la energía eléctrica es cambiante, tanto durante el día, como a lo largo del año, por lo que la generación de electricidad es intermitente. Y lamentablemente el consumo energético de las casas tiende a subir en la mañana y noche, al igual que en invierno, justo cuando la producción energética del sistema (es decir el recurso solar) está en su mínimo o es nulo. Por ello, es necesario complementar los sistemas off grid con baterías para almacenar la energía eléctrica producida y para mayor seguridad también con un sistema de apoyo (diesel o bencina). Se recomienda a su vez tomar medidas de ahorro energético, como el cambio de la iluminación a ampolletas LED y el cambio de ciertos artículos de alta eficiencia energética, junto con adquirir costumbres mas concientes con el ahorro de energía eléctrica.
A continuación se pretende mostrar en forma simplificada cómo es posible dimensionar un sistema FV, con el fin de interactuar con un sistema instalado o simplemente tener las nociones del tamaño de un nuevo proyecto. Además, se deben considerar algunos aspectos regulatorios que pueden observarse en el documento “Ficha Técnica Sistema Fotovoltaico Off Grid” [2]
Un buen dimensionamiento de los principales componentes de un sistema FV off grid tiene por finalidad asegurar la fiabilidad del sistema, es decir minimizar las fallas en el sistema y el suministro de energía cuando se requiera, incluso en períodos de baja radiación solar. La metodología se basa en 5 pasos descritos a continuación que parten con la estimación del consumo de energía, luego la selección de los equipos (inversor y regulador de carga) para terminar con el dimensionamiento del banco de baterías y de los paneles FV. Un esquema del arreglo FV se aprecia en la siguiente figura. Para mayor información se invita a revisar la “Guía de Diseño de Sistemas Fotovoltaicos Off-Grid” realizada por la Fundación “Energía Comunitaria” con apoyo de CORFO [3].

Primero se debe comenzar determinando la energía necesaria a producir para cubrir los requerimientos energéticos de la vivienda. Para esto, se determina un perfil de consumo de carga identificando los equipos que serán alimentados, sus datos de placa y cuál será su régimen de uso. La Tabla 1 muestra como ejemplo un perfil de carga de una instalación típica en casa rural, la potencia peak que esta requiere y su demanda energética.
Tabla 1: Perfil de consumo de la carga
| A | B | C | D | E | F | G | H | |
| Nr. | Equipo | Potencia de placa [Watt] | Horas uso | Energía requerida (B*C) | Potencia consumo fantasma | Horas stand-by | Energía en stand-by (E*F) | Energía total [Wh/día] (D+G) |
| 1 | 6 luces LED | 6×6 | 6 | 216 | 0 | 18 | 0 | 216 |
| 2 | 1 radio | 20 | 4 | 80 | 3 | 20 | 60 | 140 |
| 3 | 1 televisor | 80 | 4 | 320 | 3 | 20 | 60 | 380 |
| 4 | 1 refrigerador | 100 | 8 | 800 | 3 | 16 | 48 | 848 |
| 5 | 4 cargadores | 4×5 | 6 | 120 | 4×0,3 | 18 | 22 | 142 |
| Potencia máxima | ∑ 𝐵i= 256 W | Requerimiento energético, WAC | ∑𝐻i=1726 Wh | |||||
El requerimiento energético de cada uno de los equipos indicados en la Tabla 1 se obtiene de la multiplicación de la potencia de placa correspondiente (B) por la cantidad de horas de uso diario (C). Por otro lado, para el caso de equipos electrónicos que están en modo stand-by (no se encuentran en uso) se debe calcular su consumo fantasma, multiplicando el valor de potencia en modo espera (E) por la cantidad de horas que este esté fuera de operación (F). La energía diaria requerida por cada equipo (H) se calcula entonces, al sumar las columnas correspondientes a la energía requerida en estado activo (D) y la energía requerida en modo stand-by (G).
La potencia peak requerida por el sistema (flujo máximo de energía) se obtiene al sumar la potencia de placa en modo activo de todos los equipos conectados (Pmax=256 W). Por otro lado, la cantidad de energía diaria demandada por el sistema se obtiene al sumar los valores calculados para cada equipo (WAC=1726 Wh).
- Selección del inversor
La corriente eléctrica que generan los paneles FV y el que proviene de las baterías es de tipo contínua. Sin embargo, la mayoría de las cargas (equipos) que se conectan en casa utilizan corriente alterna. Por ello se requiere de un inversor para hacer de interface entre paneles FV y casa, o sector de consumo. El inversor, quien transforma el tipo de corriente, puede ser de dos tipos: de onda sinusoidal, o bien, de onda rectangular y la selección depende que forma de onda es la que mejor se adapta a las cargas. Como regla general, en este punto, puede tenerse en cuenta que equipos electrónicos, que tienen en su entrada una fuente de poder/cargador en la cual se rectifica la tensión de alimentación, no tienen mayores inconvenientes en operar con un voltaje no sinusoidal. Generalmente, el primero es más costoso, dado que genera una onda mas limpia.
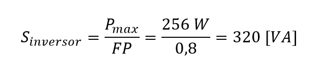
La potencia aparente que deberá tener el inversor puede ser calculada a partir de la siguiente ecuación:

donde, Pmax es la potencia máxima obtenida de la tabla de consumo y FP es el factor de potencia de la carga (habitualmente se puede tomar un valor de 0.8 para el factor de potencia).
El inversor a seleccionar deberá ser de potencia aparente igual o inmediatamente superior a la calculada. En este punto es recomendable determinar si se espera que el consumo aumente en el mediano plazo de forma de poder contemplarlo en la selección del inversor. Por otro lado, si se desea operar equipos de alta corriente de magnetización, tales como motores de inducción, es recomendable que la potencia del inversor seleccionado sea entre 2 a 3 veces el valor calculado.
- Selección del banco de baterías
La especificación del banco de baterías (BB) necesario para abastecer la carga consiste en determinar la capacidad energética requerida, la tensión del banco, tipo de batería, y el número de baterías a utilizar. La energía a suministrar por el banco de baterías corresponde a la energía requerida por la carga más la energía que se pierde en el inversor debido a su operación, y puede ser calculada de acuerdo a:

donde WAC es el requerimiento energétivo obtenido a partir de la Tabla 1 y ƞinversor es la eficiencia del inversor seleccionado (dato placa).
La capacidad que debe tener el banco de baterías es calculada de acuerdo a:

donde WBB es la energía que debe suministrar el banco y que fue calculada en el punto anterior, ƞBB es la eficiencia del banco de baterías, DoD la profundidad de descarga de las baterías a utilizar y VBB la tensión nominal del banco.
La eficiencia de ciclo cerrado de las baterías depende de la batería a utilizar y habitualmente se encuentra entre 0,8 y 0,9. El valor de la profundidad de descarga también depende del tipo de baterías utilizadas; en baterías de ciclo profundo este valor puede variar entre 0,5 a 0,7. La tensión del banco debe ser la misma que la tensión de entrada del inversor seleccionado (12V, 24V o 48V), por lo que este valor se obtiene al elegir el inversor.
La capacidad de las baterías (Cbaterías) en el mercado está especificado mediante valores estándar, por ello, se debe configurar el banco de tal forma que se especifique un banco de capacidad inmediatamente superior al calculado. Ahora bien, el número de baterías necesario (N) para construir el banco se determina en función de la capacidad individual de cada una de las baterías a utilizar, de forma que:

donde Cbaterías corresponde a la capacidad de cada una de las baterías que compondrá el banco. En este ejemplo se seleccionan baterías de 200 Ah y para el ejemplo, la cantidad de baterías necesarias para garantizar el suministro eléctrico de 1 día, serían dos (2 > 1,6). Se recomienda dimensionar el banco de baterías multiplicando el número de baterías diarias requeridas por la cantidad de días que se considera que las condiciones de radiación solar no serán capaces de cargar el sistema. Valores típicos para esto están entre 2 a 3. Para este ejemplo, el banco ideal sería de 4-6 baterías, dependiendo de la zona geográfica.
Los diferentes voltajes se pueden obtener mediante la conexión en paralelo de las baterías.
El regulador de carga (también llamado controlador de carga) protege y gestiona la carga y descarga de las baterías, optimizando el uso de la energía generada por los paneles solares. La selección de éste se realiza teniendo en cuenta que debe ser capaz de manejar tanto la corriente de cortocircuito del arreglo de paneles FV como la máxima corriente de carga del banco de baterías. En este contexto la corriente de carga del banco de baterías está dada por:

El controlador de carga a seleccionar por seguridad debe tener capacidad de manejo de corriente de aproximadamente dos veces la corriente calculada y la corriente de cortocircuito del arreglo de paneles. Por otro lado, la tensión de placa del regulador de carga deberá ser la misma que la del banco de baterías (VBB).
- Arreglo de paneles fotovoltaicos
Antes de determinar la cantidad y configuración de los paneles que componen el arreglo, es necesario recolectar variada información sobre el lugar dónde estos serán instalados. Se debe conocer la superficie que está disponible para la instalación de los paneles, dimensiones, inclinación, horas al día que le llega sombra, entre otras cosas. Por otro lado, es necesario conocer los datos meteorológicos del sector: cuantos días al año se tienen días despejados, la radiación solar promedio en cada mes del año (global, directa y difusa), etc. Esta información se puede obtener del “Explorador Solar” del ministerio de energía [4]. En las siguientes figuras se muestran los datos para el lago Todos los Santos.
La cantidad de energía eléctrica que pueden producir los paneles depende de varios factores, entre los que se pueden mencionar los ambientales (irradiancia solar y temperatura), geográficos (latitud, presencia de sombras, entre otros) y la eficiencia de los distintos elementos del sistema. Por esta razón, cada elemento debe ser evaluado en detalle, pues influye en el dimensionamiento de los sistemas FV.
El principal factor ambiental es la radiación solar disponible en la zona, ya que es la fuente de energía primaria, es decir la energía disponible para generar la energía eléctrica.

Este recurso se puede ver afectado por la estacionalidad del año, la nubosidad o la presencia de sombras producidas por montañas, arboles, edificaciones u otros elementos que obstaculicen la radiación solar sobre las celdas fotovoltaicas. Otros factores como la humedad, la temperatura y la velocidad del viento afectan la eficiencia o durabilidad de los paneles. Aspectos eléctricos que disminuyen la eficiencia de los sistemas fotovoltaicos tales como perdidas en los conductores por efecto Joule, eficiencia en la conversión corriente continua-corriente alterna en los inversores y perdidas en las baterías también deben ser considerados.
Existen softwares en línea disponibles, como por ejemplo el PV Syst [6] o el explorador solar [4], que ayudan a dimensionar los sistemas FV y su instalación, con el fin de optimizar la generación de energía eléctrica a lo largo del año.
Por otro lado, hay una regla simple para instalar los paneles, que se orienta a garantizar la efectividad del sistema, optimizando la generación en los meses de baja radiación (invierno). En ella, se recomienda que los paneles fotovoltaicos en el hemisferio sur se orienten directamente hacia el norte con una inclinación similar a la latitud. Dado que el lago TLS se ubica en la latitud 41° (S), ésta debiera ser la inclinación de los paneles con respecto al plano horizontal.
El tipo de panel solar varía según el tipo de celda: monocristalinos, policristalinos o amorfos donde la gran diferencia radica en la eficiencia que tiene la placa de transformar la radiación solar (irradiancia) en electricidad, la cual es de aproximadamente 20%, 17% y 10% respectivamente. Hoy en día, se puede aumentar la eficiencia (5% a 30%) con paneles bifaciales, los que capturan energía solar por ambas caras, sin embargo tienen un mayor costo y a veces dependiendo de la instalación, la luz reflejada del suelo o techo no aporta mucho, por lo que no tiene sentido esta característica.
La potencia de los paneles solares indica la cantidad de energía eléctrica que es capaz de producir la instalación. La potencia viene indicada en unidades Wp (Potencia peak Vatios). Así, la potencia total de la instalación es la suma de la potencia de todas las placas que la forman.

Por ejemplo, si la instalación está formada por 4 paneles solares con una potencia de 300 Wp por panel tenemos una potencia total de 1.200 Wp. Este valor de potencia corresponde a 1.200 kWh de electricidad en condiciones teóricas (radiación solar de 1000 W/m2 perpendicular sobre el panel y temperatura de la placa de T = 25 °C).
El ejemplo presentado también es posible realizarlo con el explorador solar del ministerio de energía [4]. A continuación se muestra la interface y los resultados obtenidos con el software en linea.


Los resultados del estudio arrojan valores diarios, mensuales y anuales de generación y ofrecen alternativas de optimización en la instalación, como por ejemplo, los ángulos de instalación de los paneles para mejorar la generación según la zona y fecha. Como ejemplo, se muestra el ciclo de generación eléctrica diario promedio para cada mes del año y el promedio mensual para el caso de estudio visto. En el primer gráfico se observan más horas de generación al día en los meses de verano; de 6-20hrs versus de 8-17hrs en invierno. Igualmente los colores indican mayor generación alrededor del mediodía. En el gráfico mensual, se reconoce claramente la estacionalidad del recurso solar; en invierno la generación es muy baja y en verano prácticamente se triplica.


Finalmente, sumado los resultados mensuales se obtiene una generación anual de 1,2 MWh. Se recuerda que los valores de radiación solar utilizados en los cálculos son valores promedio generados con muchos años de datos medidos, por lo que el cálculo siempre es una estimación.
De esta forma las características mínimas del equipo FV para esta aplicación es el siguiente
- 4 paneles FV, 24 V y 300Wp o más c/u.
- 4 baterías tipo AGM o GEL, libres de mantenimiento, de 12V y 200Ah cada una, de tal forma de conformar un banco de baterías de 9,6 kWh de capacidad (conexión serie/paralelo).
- Regulador tipo MPPT de 40 [A], compatible con configuración de paneles y baterías.
- Inversor cargador de al menos 1.000 VA de potencia nominal, entrada en 24V, salida sinusoidal 220V.
- Tablero con protecciones y sistema de monitoreo del estado de carga de baterías, el que puede ser externo o integrado al inversor.
- Estructura de montaje de paneles solares (adecuada a la zona geográfica).
- Contenedor para instalación de baterías.
- Selector automático y generador de 5 KVA (alternativo)
Es recomendable para asegurar una operación segura, alta disponibilidad y buen rendimiento del sistema FV que el proyecto sea realizado por personal capacitado que posea la experiencia tanto para el diseño, la selección de equipos como para la instalación y el mantenimiento.
Deseo reiterar que el ejemplo mostrado en este artículo entrega una metodología simple que tiene por finalidad que el lector interesado pueda comprender mejor los sistemas de generación FV “off grid”, sus ventajas y sus limitaciones.
Referencias:
- https://www.eha.cl/noticia/local/core-los-lagos-aprobo-recursos-para-proyecto-de-electrificacion-rural-en-lago-todos-los-santos-y-mejoramiento-de-veredas-en-puerto-chico
- https://fondos.mma.gob.cl/wp-content/uploads/2021/08/Anexo-04-Ficha-Tecnica-Sistema-Fotovoltaico-Off-Grid.pdf
- http://plataformasolar.die.udec.cl/files/guia%20dise%C3%B1o%20off-grid.pdf
- https://solar.minenergia.cl/fotovoltaico
- PVSyst Photovoltaic Software, https://www.pvsyst.com/.
